Můžeme pracovat s cookies,
ať víme, jak to na našem webu žije?

Pozvánka na konání náhradního okresního shromáždění OS KVL ČR Břeclav, 26.11.2025

10.11.2025

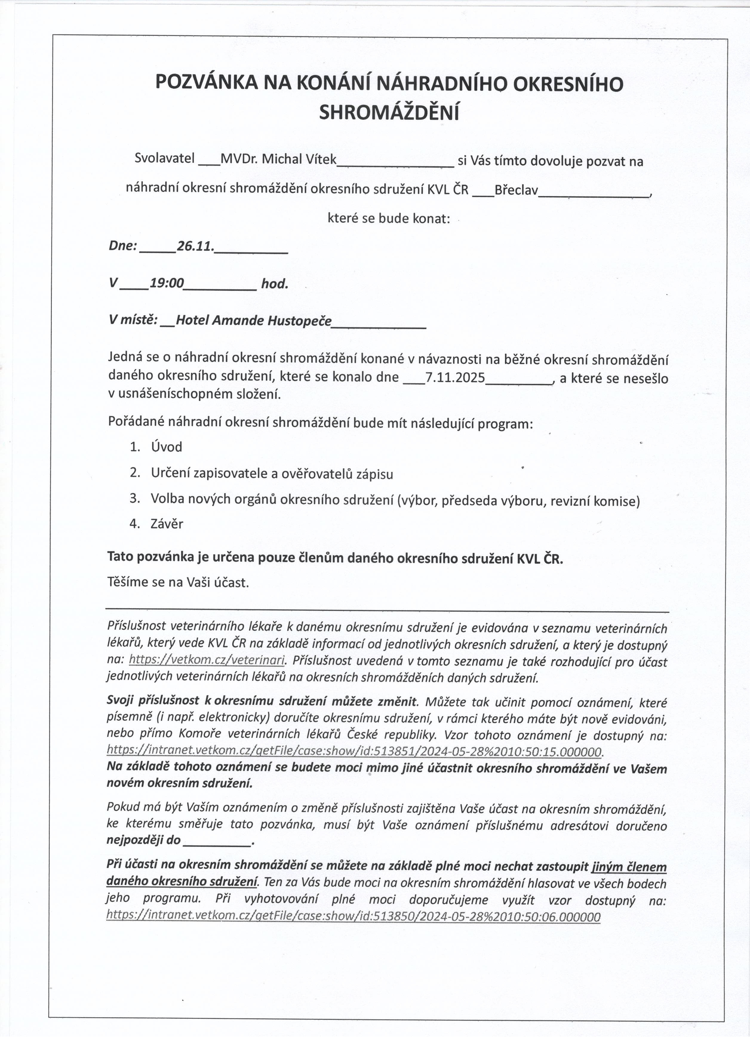
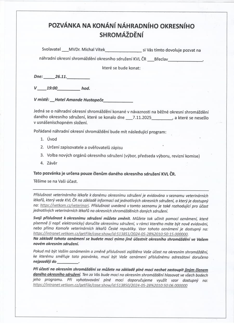
POZVÁNKA NA KONÁNÍ NÁHRADNÍHO OKRESNÍHO SHROMÁŽDĚNÍ

Svolavatel MVDr. Michal Vítek si Vás tímto dovoluje pozvat na

náhradní okresní shromáždění okresního sdružení KVL ČR Břeclav,

které se bude konat:

Dne: 26.11.2025

V 19:00 hod.

V místě: Hotel Amande Hustopeče

Jedná se o náhradní okresní shromáždění konané v návaznosti na běžné okresní shromáždění daného okresního sdružení, které se konalo dne 7.14.2025, a které se nesešlo v usnášeníschopném složení.

Pořádané okresní shromáždění bude mít následující program:

1. Úvod

2. Určení zapisovatele a ověřovatelů zápisu

3. Volba nových orgánů okresního sdružení (výbor, předseda výboru, revizní komise)

4. Závěr

Tato pozvánka je určena pouze členům daného okresního sdružení KVL ČR.

Těšíme se na Vaši účast


Příslušnost veterinárního lékaře k danému okresnímu sdružení je evidována v seznamu veterinárních lékařů, který vede KVL ČR na základě informací od jednotlivých okresních sdružení, a který je dostupný na: https://vetkom.cz/veterinari. Příslušnost uvedená v tomto seznamu je také rozhodující pro účast jednotlivých veterinárních lékařů na okresních shromážděních daných sdružení.

Svoji příslušnost k okresnímu sdružení můžete změnit. Můžete tak učinit pomocí oznámení, které písemně (např. i elektronicky) doručíte okresnímu sdružení, v rámci kterého máte být nově evidováni, nebo přímo Komoře veterinárních lékařů České republiky. Vzor tohoto oznámení je dostupný na: https://intranet.vetkom.cz/getFile/case:show/id:513851/2024-05-28%2010:50:15.000000
Na základě tohoto oznámení se budete moci mimo jiné účastnit okresního shromáždění ve Vašem novém okresním sdružení.

Pokud má být Vaším oznámením o změně příslušnosti zajištěna Vaše účast na okresním shromáždění, ke kterému směřuje tato pozvánka, musí být Vaše oznámení příslušnému adresátovi doručeno nejpozději do ____.

Při účasti na okresním shromáždění se můžete na základě plné moci nechat zastoupit jiným členem daného okresního sdružení. Ten za Vás bude moci na okresním shromáždění hlasovat ve všech bodech jeho programu. Při vyhotovování plné moci doporučujeme využít vzor dostupný na:
https://intranet.vetkom.cz/getFile/case:show/id:513850/2024-05-28%2010:50:06.000000.


2025-11-26-Náhradní OS Břeslav.jpg

Zpět na výpis
Inzerce

Inzerce

Seznam veterinárních lékařů

Seznam veterinárních lékařů

Registr zvířat

Registr petpasů

Časté dotazy

Časté dotazy

Úřední deska

Pozvánka na konání náhradního okresního shromáždění OS KVL ČR Opava, 25.11.2025

Zveřejněno: 10.11.2025
Datum stažení: 26.11.2025

Pozvánka na konání náhradního okresního shromáždění OS KVL ČR Břeclav, 26.11.2025

Zveřejněno: 10.11.2025
Datum stažení: 27.11.2025

Pozvánka na konání okresního shromáždění OS KVL ČR Brno, 27.11.2025

Zveřejněno: 10.11.2025
Datum stažení: 28.11.2025

Pozvánka na konání okresního shromáždění OS KVL ČR Vyškov, 04.12.2025

Zveřejněno: 07.11.2025
Datum stažení: 05.12.2025

Pozvánka na konání náhradního okresního shromáždění OS KVL ČR Hradec Králové, 09.12.2025

Zveřejněno: 05.11.2025
Datum stažení: 10.12.2025
Úřední deska

Kalendář akcí

Právě chroustám data, abych mohl zobrazit kalendář. Chvilku prosím počkejte...